Iteration
Thoughts on Writing
Though people think my job is making YouTube videos, most of my working time is actually spent writing.
When I think about how to work better or faster, it's all about improving the writing process. I read a lot of books about writing because that's where 90% of the benefits and 90% of the bottlenecks of my working life reside.
I've been doing this long enough to have developed a rough process of my own and I'm comfortable enough to let you, dear reader, in. If you want to see this messy process of mine, this article is for you.
Now, I'm not actually a good writer, I'm a competent writer. This isn't false modesty: competence, it turns out, is depressingly rare as is.
But where I excel is iteration. Re-writing and re-writing.
If you want to be a better writer but, like me, you know you're not actually great at it, I suggest you try iterating a short piece of work, over and over.
How many iterations?
As best I can tell, going back through all my files, writing the script for this video took somewhere between 30 drafts at a minimum to 50 drafts at a maximum.
Here's how that happens:
A video starts its life as a collection: a folder for a topic I have any interest in doing. 'This Video Will Make You Angry' began as a collection named 'memes'. The intention was to talk about the phenomenon of image macros -- a sort of meta-know-your-meme video.
The collecting stage can be very, very long -- the 'memes' collection started in 2012. My oldest, still-active collection is from 2011.
Right now I have 217 collections. Obviously, I'm by no means working on 217 things, but that's the number of topics that I'm at least aware might make for a good video. Everything I read or watch or listen to or think of, if it's relevant, goes into one of the collections. My biggest collection has fifty items in it, the smallest just one.
A collection can get promoted to a zeroth draft -- where a dedicated text file is made in my system so that it can be accessible at any time. I take morning walks and during this time my brain often thinks of sentence fragments for some of the videos in zeroth draft stage. Anything interesting gets added via my phone.
Zeroth drafts then are semi-stream-of-consciousness thoughts on a topic spread out over weeks. It's completely unreadable to anyone other than me, often hugely repetitive. But, importantly, they're the repository of ways my brain has tried to explain all the junk in the collection.
It's hard to say exactly why a collection gets promoted to a zeroth draft, but for this most recent video I know exactly when and why: in June 2014 I came across two things in a short period of time: Trust Me I'm Lying by Ryan Holiday and This is Phil Fish. Both are brilliant and both approach the topic of how things that make us angry get out of control on the Internet.
As a somewhat public Internet person and someone who observes a lot of Internet arguments I felt there was something more here. For a long time, I'd had an 'arguments' collection, that contained this sketch of something I'd observed with groups:
'Memes' combined with 'Arguments' to become a zeroth draft called 'How Ideas Spread'.
Right now there are about 11 videos in the zeroth draft stage. But lots of projects die here -- five of these my brain hasn't added to in months. They'll probably get killed at my next post-video review.
The stage after 'zeroth draft' is 'active video'. This promotion is serious business: it's where I invoke a 66 item template in OmniFocus that details the steps from zeroth draft to published video.
'Active videos' are where the iterations really begin. Start with the 5,000 to 10,000 words of near nonsense in the zeroth draft and iterate over it again and again with two goals in mind:
Clearer.
Shorter.
These drafts are where I spend the majority of my working mental energy. The end goal is 800 to 1,200 coherent and interesting words. Were I a better writer I could get here faster, but I'm not. I have to iterate draft by draft, day by day. As such I limit 'active videos' to three -- more than that slows down everything. Too little butter over too much bread.
'How Ideas Spread' got promoted to active-video status in the beginning of January. This means it gets three to four full drafts a week. Drafts are slower at the beginning -- it just takes more time to go through 7,000 words than 3,000 -- and I rotate the three 'active videos'. Usually two get iterated on a working day leaving one to rest.
One 'active video' is also The Next Video. This script I work on almost every day. It really hurts, but about one in three videos that make it to this final stage still get killed. Either because of research problems. (This happened to one in January) or because they're just boring (February) or because I break my keep-your-mouth-shut rule and tell someone what I'm working on (November).
But even when things seem to be going fine scripts can get stuck. Something isn't working and it's hard to say what. If this happens I break out the big guns: pen and paper.
I don't know why but switching to paper can burst the mental log jam. Often I find big sections to cut or realize that I need to re-order the way that I've explained things. Stuff just looks different on paper.
But if I do drafts on paper, they always get turned back into a digital version near the end which is just faster for what I do best: endless iterating until I have something worth recording.
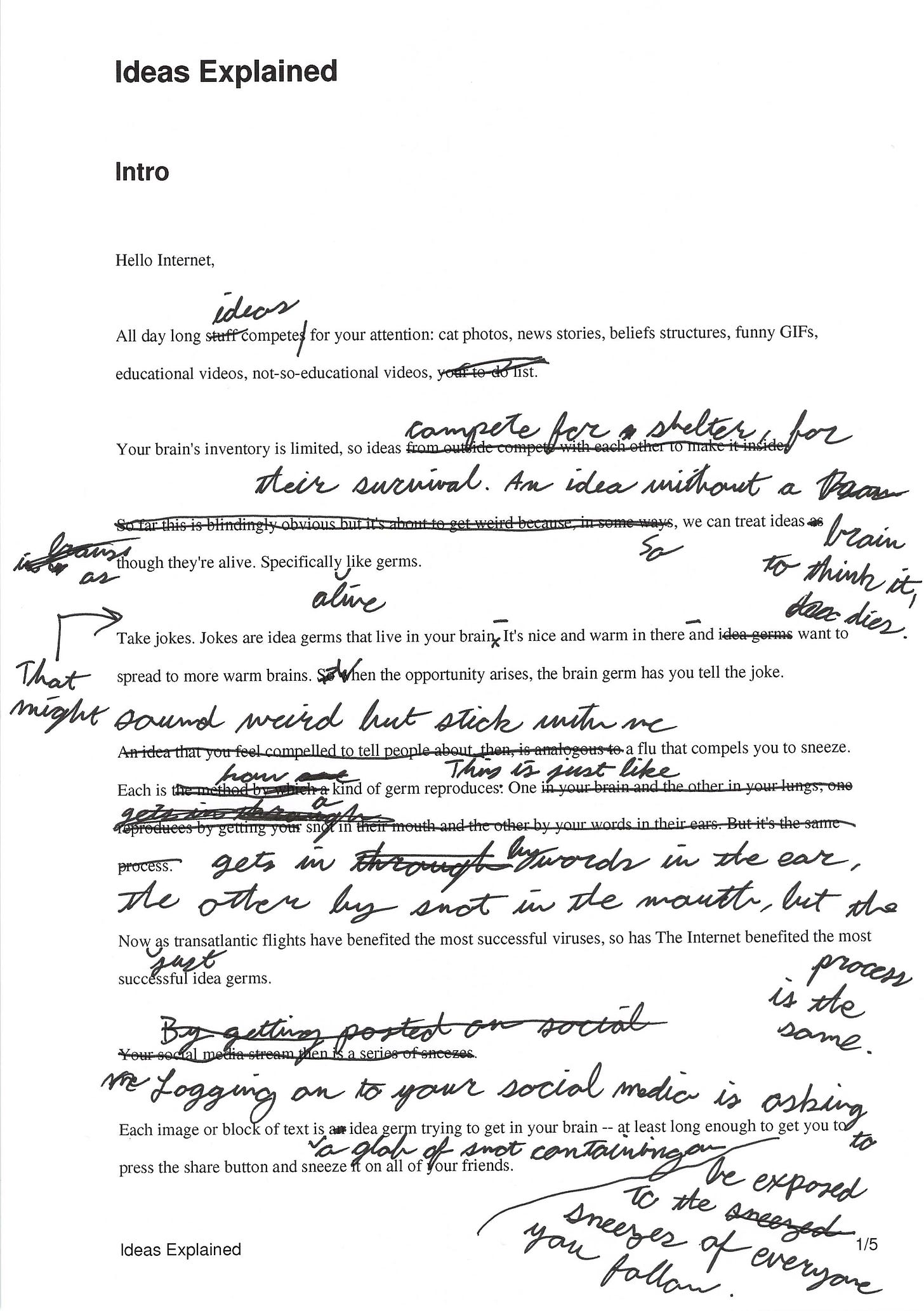
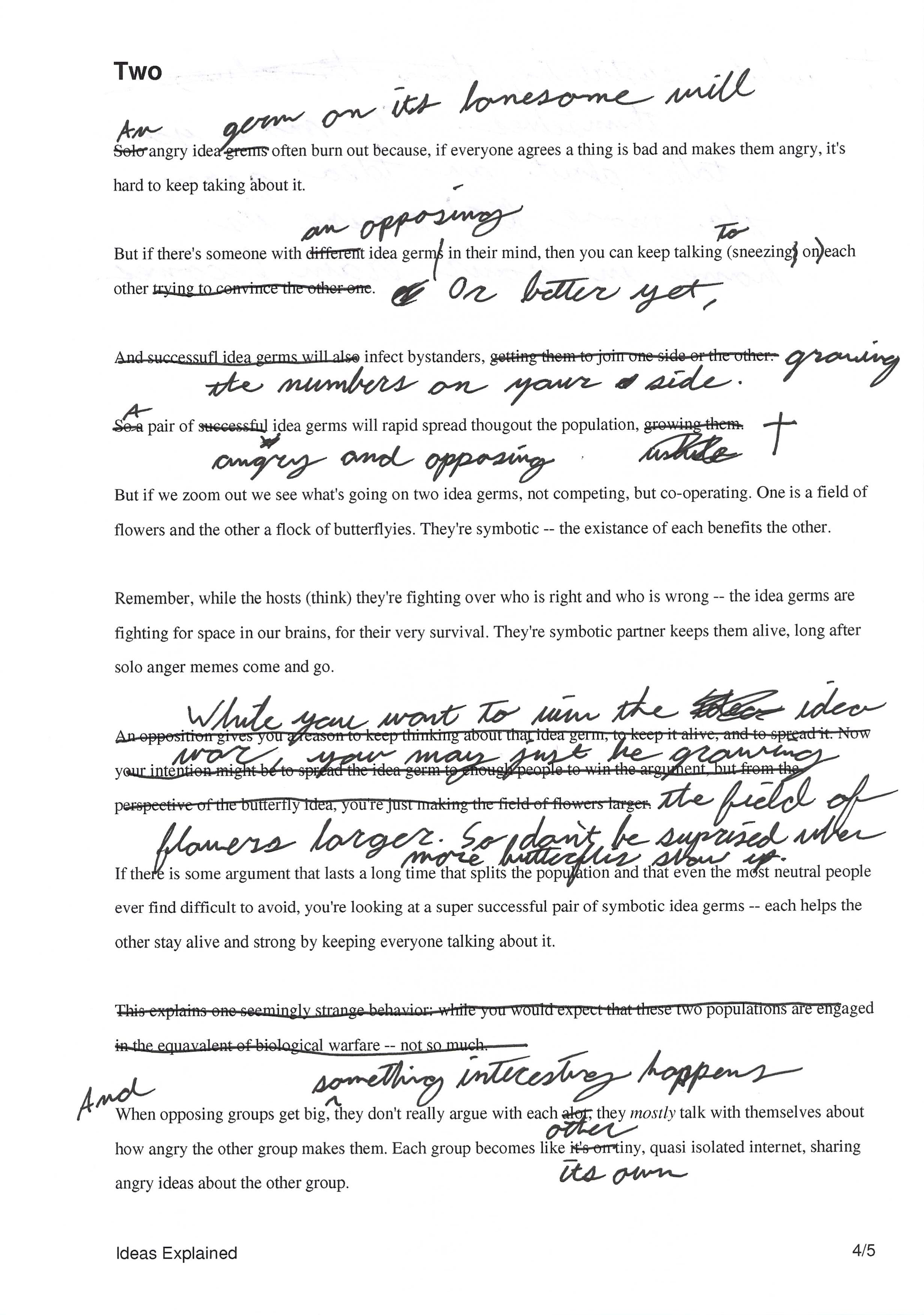
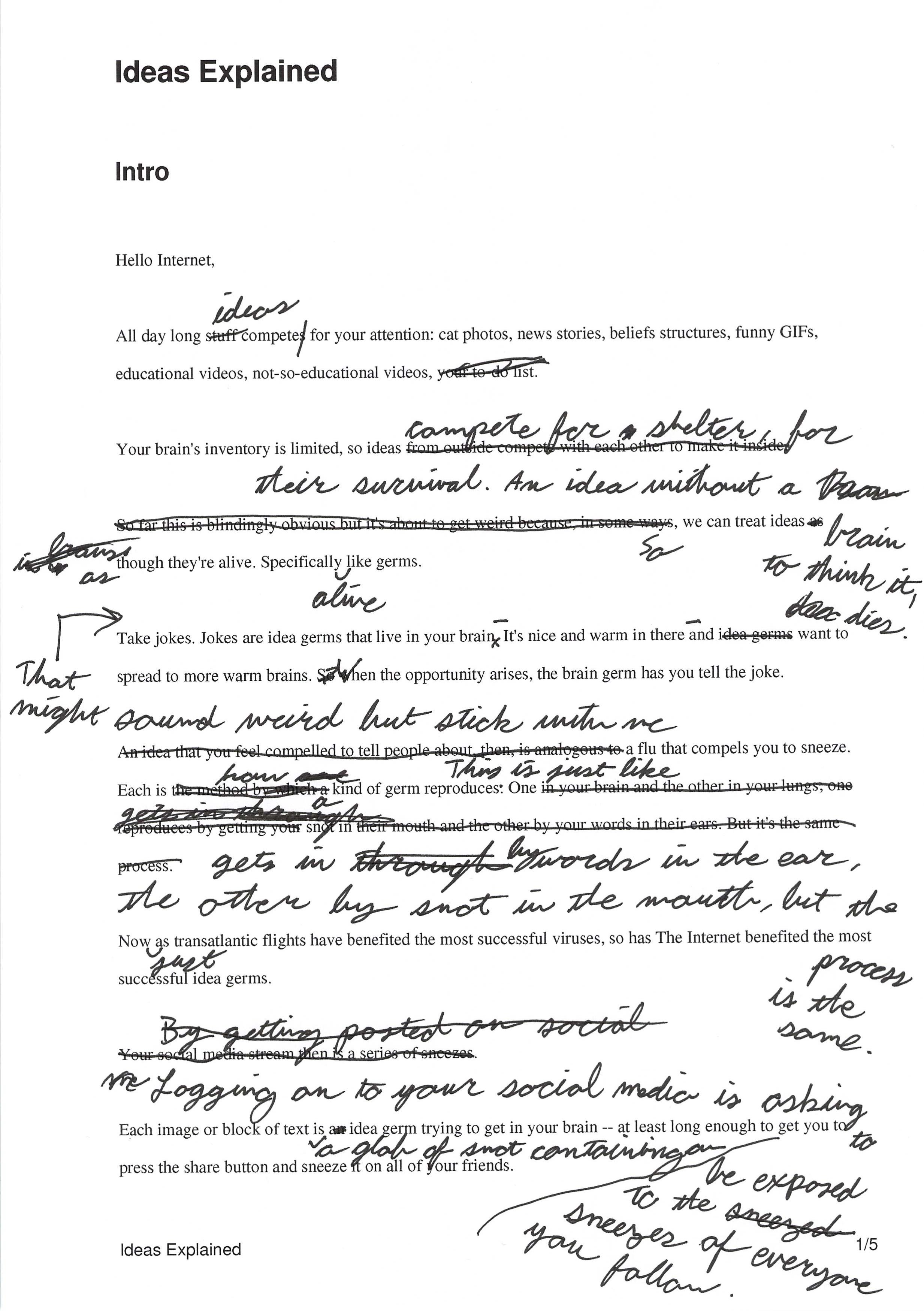
So that's the basic process right now. If you're really interested in the details, I've attached the three physical drafts for This Video Will Make You Angry. Be warned: I don't use spell check.
About 10 drafts before final version:
Draft not-exactly-sure when:
About 5 drafts before final version:
You may notice that I'm still using the word 'ideas' instead of the final word 'thoughts'. That was a change made in almost the very final draft.






















